Choosing a suitable motor for a hydraulic press essentially involves achieving a precise match between "load requirements—pump characteristics—motor output." The core principle is: first determine the hydraulic system (pressure and flow rate), then calculate the motor power, and finally verify startup and energy efficiency. Improper selection can lead to two typical problems: insufficient power, causing motor overload and burnout; excessive power, resulting in energy waste. Below, Jianlong Hydraulic Technology has compiled a quick modeling checklist for your reference during procurement!

1. Working Condition Matching: Confirm the system's maximum pressure and flow rate requirements (considering each stage of operation).
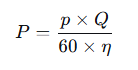
2. Accurate Calculation: Calculate the theoretical power using the formula, and allow for a 10%-20% margin.
Power is calculated, not guessed. The core formula for calculating motor power is:

3. Energy Efficiency Compliance: Select an IE3 or higher high-efficiency motor.
4. Starting Compatibility: High-power motors are equipped with soft start or star-delta start.
5. Environmental Adaptability: Protection rating IP54/IP55, considering the effects of temperature, dust, and altitude.
6. Speed Consistency: Motor speed matches the rated speed of the hydraulic pump.
7. Variable Frequency Priority: For frequent speed adjustment conditions, variable frequency motors are preferred.

When selecting a suitable motor, remember three steps: calculate power, determine type, and calibrate for the environment. It's better to have too high a power rating, too high an energy efficiency rating, and a stable starting method rather than abrupt starting. Currently, Jianlong Hydraulic Technology can customize hydraulic presses from 10 to 5000 tons. If you have any questions or suggestions regarding motor selection, or need to purchase high-quality hydraulic presses, please contact us (or scan the following WhatsApp QR code). Jianlong Hydraulic Technology will provide you with personalized and customized professional solutions and is dedicated to serving you.

Contact: Miss.Li
Phone: 18822971180
Tel: 86-18822971180
Email: lifuyan78@gmail.com
Add: Guangyi Industrial Park, No. 2, Tanglip Jinfu West Road, Liaobu Town, Dongguan City, China
We chat