Welcome: 健隆(深圳)实业有限公司
lifuyan78@gmail.com 86-18822971180

新闻中心

如何选择优质适配的电机?

为液压机选择适配的电机,本质是实现“负载需求—泵特性—电机输出”三者之间的精准匹配。核心原则是:先定液压系统(压力和流量),再算电机功率,最后校核启动与节能。如选型不当会出现两种典型问题:功率过小,电机过载烧毁;功率过大,大马拉小车造成能源浪费。下面,看看健隆液压科技小编整理的快速造型清单,供您采购时参考!

 

1、工况匹配:确认系统最大压力和流量需求(考虑各动作阶段)

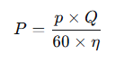
2、计算准确:按公式算出理论功率,并预留10%-20%余量。

功率是“算”出来的,不是“猜”出来的,电机功率的核心计算公式为:

ed8cb840-f383-47eb-9f6a-4d07b650306b.png 

3、能效合规:选择IE3及以上高效电机

4、启动兼容:大功率电机配置软启动或星三角启动

5、环境适应:防护等级IP54/IP55,考虑温度、粉尘、海拔影响

6、转速一致:电机转速与液压泵额定转速匹配

7、变频优先:频繁调速工况,优先采用变频电机

 

选适配电机,牢记三步——算功率、定类型、校环境。功率宁大勿小,能效宁高勿低,启动方式宁稳勿猛。目前,健隆液压科技已可以定制10-5000吨的液压机。如您对选配电机有疑问/建议,或需采购高质量液压机,请联系我们(亦可扫描以下whatsapp二维码),健隆液压科技将为您提供个性化、定制化的专业解决方案,竭诚为您服务。


上一个:如何选择优质液压油缸? 没有下一个

导航栏目

联系我们

联系人:黎女士

手机:18822971180

电话:86-18822971180

邮箱:lifuyan78@gmail.com

地址: 中国东莞市廖埠镇塘里金府西路2号广义工业园